Bài 24: Suất điện động cảm ứng
A. KIẾN THỨC CẦN NẮM VỮNG
1. Suất điện động cảm ứng trong mạch kín
Là suất điện động sinh ra dòng điện cảm ứng o trong mạch kín.

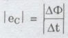
2. Định luật Fa-ra-đay
Độ lớn suất điện động cảm ứng xuất hiện trong mạch kín tỉ lệ với tốc độ biến thiên từ thông qua mạch kín đó.

B. CÂU HỎI VẬN DỤNG
C1. a) Nhắc lại định nghĩa suất điện động của nguồn điện.
b) Trong các sơ đồ mạch điện, nguồn điện lí tưởng một chiều được kí hiệu như hình 24. 1a. Ngoài ra nguồn điện còn được kí hiệu như hình 24.1b, trong đó, điểm ngọn của mũi tên chỉ vào cực dương của nguồn; chiều mũi tên được gọi là chiều của suất điện động. Tính UAB theo sơ đồ hình 24. 1c.
c) Tính UCD theo sơ đồ hình 24.1d.
d) Tính UAB theo sơ đồ hình 24.1e với một nguồn có r # 0.
e) Nhắc lại biểu thức của điện năng do một nguồn điện sản ra trong một khoảng thời gian 
Hướng dẫn
a) Suất điện động E của một nguồn điện là đại lượng đặc trưng cho khả năng thực hiện công của nguồn điện, và được đo bằng thương số giữa công A của lực lạ thực hiện khi dịch chuyển một điện tích dương q ngược chiều điện trường và độ lớn của điện tích q đó.
b) Hiệu điện thế UAB = E
c) Hiệu điện thế UAB = -E
d) Hiệu điện thế UAB = E = ir.
e) Công của nguồn điện khi tạo thành dòng điện có cường độ i chạy trong toàn mạch sau một khoảng thời gian
là: Ang =
.E = Ei
C2. Hãy nghiệm lại rằng trong công thức
hai vế có cùng đơn vị
Hướng dẫn
Vế thứ nhất là suất điện động có đơn vị vôn (V).
Vế thứ hai: 
Vậy đơn vị ở hai vế là giống nhau và đều là vôn (V)
C3. Xác định chiều của suất điện động cảm ứng xuất hiện trong mạch kín (C) trên hình 24.2 khi nam châm:
a) đi xuống
b) đi lên
Hướng dẫn
Nếu nhìn từ trên xuống
a) dòng điện cảm ứng cùng chiều kim đồng hồ.
b) dòng điện cảm ứng ngược chiều kim đồng hồ

C. CÂU HỎI – BÀI TẬP
1. Phát biểu các định nghĩa:
– Suất điện động cảm ứng.
– Tốc độ biến thiên từ thông.
Hướng dẫn
– Suất điện động cảm ứng là suất điện động sinh ra dòng điện cảm ứng trong mạch kín.
Gọi
là độ biến thiên từ thông qua một mạch điện kín trong thời gian
. Tốc độ biến thiên từ thông qua mạch kín đó là: 
2. Nêu ít nhất ba ứng dụng của hiện tượng cảm ứng điện từ.
Hướng dẫn
Hiện tượng cảm ứng điện từ được ứng dụng trong:
– Máy phát điện (một chiều và xoay chiều).
– Các dụng cụ đo điện từ.
– Các lò cảm ứng dùng để nung nóng kim loại (tác dụng của dòng điện Fu-cô).
3. Phát biểu nào dưới đây là đúng?
Khi một mạch kín phẳng, quay xung quanh một trục nằm trong mặt phẳng chứa mạch trong một từ trường thì suất điện động cảm ứng đổi chiều một lần trong:
A. 1 vòng quay B. 2 vòng quay C. 1/2 vòng quay D. 1/4 vòng quay
Hướng dẫn
Phát biểu C đúng
4. Một mạch kín hình vuông có cạnh đài 10cm đặt vuông góc với 1 từ trường đều có độ lớn thay đổi theo thời gian. Tính tốc độ biến thiên của từ trường biết cường độ dòng điện cảm ứng i = 2A và điện trở của mạch bằng 5(ôm)
Hướng dẫn

Phát biểu C đúng
5. Một khung dây dẫn hình vuông cạnh a = 10cm, đặt cố định trong một từ trường đều có vectơ cảm ứng từ
vuông góc với mặt phẳng khung. Trong khoảng thời gian
= 005 s, cho độ lớn của
tăng đều từ 0 đến 0,5 T. Xác định độ lớn của suất điện động cảm ứng xuất hiện trong khung.
Hướng dẫn

6*. Một mạch kín tròn (C) bán kính R, đặt trong từ trường đều, trong đó vectơ cảm ứng từ
lúc đầu có hướng song song với mặt phẳng chứa (C) (hình 24.3). Cho (C) quay đều quanh trục A cố định đi qua tâm của C và nằm trong mặt phẳng chứa (C); tốc độ quay làm
không đổi. Xác định suất điện động cảm ứng cực đại xuất hiện trong (C).
Hướng dẫn
Khi mạch kín quay đều với tốc độ quay là
thì từ thông xuyên qua mạch biến thiên theo quy luật
= Bsin
t.
Suất điên đông
= BScos
t.
Suất điện động cực đại ứng với trường hợp cos
t = 1 => emax = bS
Hay emax = B(
R2 )
.