BÀI 21: TÍNH THEO CÔNG THỨC HOÁ HỌC
Giải bài tập 1 trang 71 SGK: Tìm thành phần phần trăm (theo khối lượng) các nguyên tố hoá học có trong những hợp chất sau:
a) CO và CO2; b) Fe3O4 và Fe2O3; c) SO2 và SO3.
Hướng dẫn giải
a) %C = (12 / 28) x 100% = 42,8%;
%O = (16 / 28) x 100% = 57,2%
và 27,3% C; 72,7% O.
b) 72,4% Fe; 26,4% O và 70% Fe; 30% O.
c) 50% S; 50% O và 40% S; 60% O.
Giải bài tập 2 trang 71 SGK: Hãy tìm công thức hoá học của những hợp chất có thành phần các nguyên tố như sau:
a) Hợp chất A có khối lượng mol phân tử là 58,5g, có thành phần các nguyên tố 60,68% Cl và còn lại là Na.
b) Hợp chất B có khối lượng mol phân tử là 106g, thành phần có: 43,4% Na; 11,3% C và 45,3% O.
Hướng dẫn giải
a)

Vậy công thức hoá học của hợp chất A là NaCl.
b) Cách tính tương tự như trên ta có công thức hoá học của B là Na2CO3.
Giải bài tập 3 trang 71 SGK: Công thức hoá học của đường là C12H22O11.
a) Có bao nhiêu mol nguyên tử C, H, O trong 1,5 mol đường?
b) Tính khối lượng mol đường.
c) Trong 1 mol đường có bao nhiêu gam các nguyên tố C, H, O?
Hướng dẫn giải
a) Trong 1 mol phân tử C12H22O11 có 12 mol nguyên tử C, 22 mol nguyên tử H và 11 mol nguyên tử O. Do đó trong 1,5 mol phân tử C12H22O11 có số mol nguyên tử các nguyên tố là:
nC = 18 mol nguyên tử cacbon; nH = 33 mol nguyên tử H; nO = 16,5 mol nguyên tử O.
b) MC12H22O11 = 342 g.
c) Trong 1 mol phân tử C12H22O11 có khối lượng các nguyên tố:
mC = 12g x 12 = 144g;
mH = 1g x 22 = 22g;
mO = 16g x 11 = 176g.
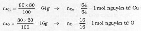
Giải bài tập 4 trang 71 SGK: Một loại đồng oxit màu đen có khối lượng mol phân tử là 80g. Oxit này có thành phần là: 80% Cu và 20% O. Hãy tìm công thức hoá học của loại oxit đồng nói trên.
Hướng dẫn giải

Suy ra trong 1 phân tử hợp chất có 1 nguyên tử Cu và 1 nguyên tử O.
Do đó công thức của oxit đồng màu đen là CuO.
Giải bài tập 5 trang 71 SGK: Hãy tìm công thức hoá học của khí A.
– Khí A nặng hơn khí hiđro là 17 lần.
– Thành phần theo khối lượng của khí A là: 5,88%H và 94,12%S.
Hướng dẫn giải
MA = 17 x 2 = 34g

Suy ra trong một phân tử hợp chất có 2 nguyên tử H kết hợp với 1 nguyên tử s.
Hợp chất có công thức hoá học là H2S.