B. Hướng dẫn giải bài tập (sgk trang 9 và 11)
Bài tập trang 9
Giải bài tập 1 trang 9 SGK hóa học 9:
a) Lấy một ít mỗi chất cho tác dụng với nước. Nước lọc của các dung dịch này thử bằng khí CO2 hoặc dung dịch Na2CO3. Nếu có kết tủa trắng thì chất ban đầu là CaO, nếu không kết tủa thì chất ban đầu là Na2O.
b) Chất khí nào làm dục nước vôi trong là CO2, còn lại là O2.
Giải bài tập 2 trang 9 SGK hóa học 9:
a) Chất nào phản ứng mạnh với nước là CaO, không tan trong nước là CaCO3.
b) Nhận biết bằng cách lần lượt cho tác dụng với nước: CaO phản ứng mạnh ; MgO không tác dụng, không tan trong nước.
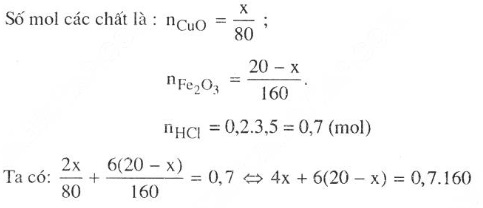
Giải bài tập 3* trang 9 SGK hóa học 9:
Đặt x (gam) là khối lượng CuO,
=> khối lượng của Fe2O3 là (20 – x) gam.

<=> 2x = 120-112 => X = 4
Đáp số: mCuO = 4 gam ; mFe2O3 = 16 gam.
Giải bài tập 4 trang 9 SGK hóa học 9: Đáp số :
a) CO2 + Ba(OH)2 → BaCO3 + H2O
Phản ứng: 0,1 → 0,1 0,1
b) CM ddBa(OH)2 = 0,1 / 0,2 = 0,5M.
c) mBaC03 = 0,1 x 197 = 19,7 g
Bài tập trang 11
Giải bài tập 1 trang 11 SGK hóa học 9: Viết phương trình phản ứng
(1) : S + O2 —> SO2
(2) CaO + SO2 —> CaSO3
(3) : SO2 + H2O —> H2SO3
(4) : H2SO4 + 2NaOH – > Na2SO3 + 2H2O
(5) : Na2SO3+ H2SO4 —> Na2SO4 + H2O + SO2 
(6) : SO2 + 2NaOH —> Na2SO3 + H2O
Giải bài tập 2 trang 11 SGK hóa học 9:
a) Cho CaO và P2O5 vào 2 ống nghiệm có H2O. Sau đó thử dung dịch bằng quỳ tím.
b) Dùng than hồng trên que đóm dể nhận biết. Hoặc dùng giấy quỳ tím tẩm nước để thử.
Giải bài tập 3 trang 11 SGK hóa học 9:
CaO có tính hút ẩm (hơi nước), đồng thời là một oxit bazơ (tác dụng với oxit axit). Do vậy CaO chỉ dùng làm khô các khí ẩm là : hiđro ẩm, oxi ẩm.
Giải bài tập 4 trang 11 SGK hóa học 9:
a) Những khí nặng hơn không khí: CO7, O2, SO2
b) Những khí nhẹ hơn không khí: H2, N2.
c) Khí cháy dược trong không khí: H2.
d) Những khí tác dụng với nước tạo thành dung dịch axit: CO2, SO2
c) Làm đục nước vôi trong : CO2, SO2.
g) Đổi màu giấy quỳ tím ẩm thành đỏ : CO2, SO2.
Giải bài tập 5 trang 11 SGK hóa học 9:
Khí SO2 được tạo thành từ cặp chất:
a) K2SO3 + H2SO4
Giải bài tập 6* trang 11 SGK hóa học 9:
a) Viết PTHH :
SO2 (k) + Ca(OH)2(dd) —> CaSO3(r) + H2O (l)
b) Khối lượng các chất sau phản ứng:
– Số mol các chất đã dùng
nSO2 = 0,112 / 22,4 = 0,005 (mol)
n Ca(OH)2 = (0,01 x 700) / 1000 = 0,007 (mol)
– Khối lượng các chất sau phản ứng:
+ nCaSO3 = n SO2 = 0,005 mol, có khối lượng là:
=> mCaSO3 = 120 x 0,005 = 0,6 (g)
+ nCa(OH)2 dư = 0,007 – 0,005 = 0,002 (mol)
=> mCa(OH)2 dư =74 x 0,002 = 0,148 (g)